Good morning, and thanks for spending part of your day with Extra Points.
Earlier this summer, Sacramento State attempted to do something only one other school has been able to do: reclassify to FBS without a standing conference invitation. Current NCAA bylaws require a conference invite before reclassifying, and despite allowing Liberty to skirt that rule in 2017, the NCAA rejected Sacramento State’s application.
I use the word “application” because there’s an actual application. Institutions that seek to reclassify to FBS from FCS submit a big ol’ packet to the NCAA, answering questions about everything from facility construction plans to academic performance to department fundraising and more.
It took me a little while, but after a few open records requests, I’ve obtained a copy of Sacramento State’s FBS application, as well as a realignment options feasibility study and a PowerPoint of the athletic department’s strategic plan.
Those are huge documents, too large to break down over one email. If you’d like to read everything, I’ve uploaded it all to the Extra Points Library.
But if you’re curious about what an actual FBS reclassification looks like, read on. I’ll break down the application structure below.
The first page of the application includes contact information for the various campus administrators who would be involved in such a decision, like the university president, athletic director, compliance administrator, SWA and others. These are huge decisions and generally not the purview of just one or two people.
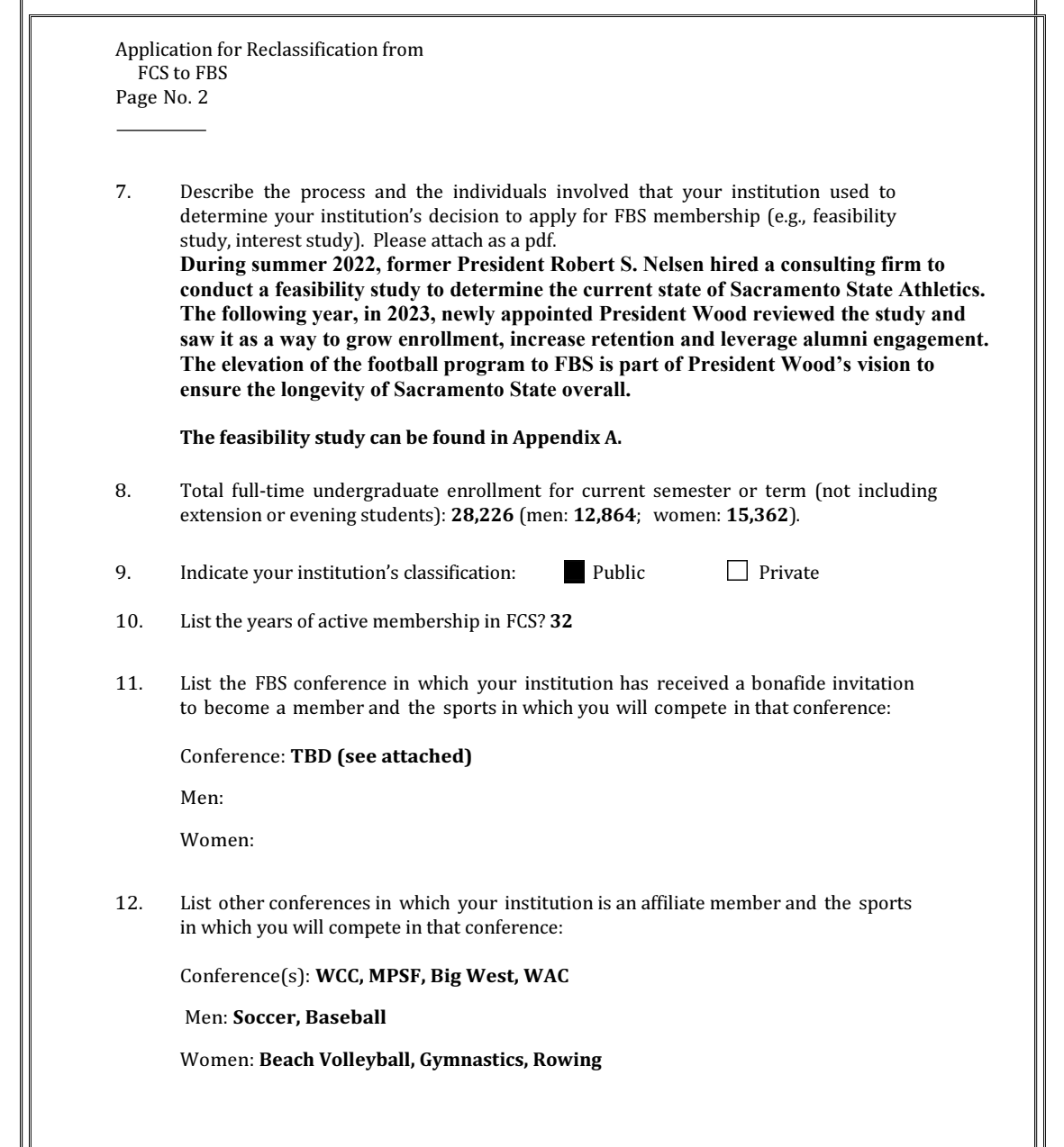
Here’s the second page:

The application also asks which specific sports the athletic department will sponsor to be compliant with the 16-team minimum and for various signatures to affirm that the school has completed the application in good faith.
And then, right before the supplemental information requests (the stuff that I personally find most interesting), is this big ol’ bolded message:

What other supporting information is requested?
Want to read the rest of the newsletter? Subscribe today!
Premium Subscriptions make Extra Points possible. Upgrade today to get access to everything we write:
Upgrade to Premium for just nine bucks a month:









